CS35: Quiz 4 Study Guide

In addition to all concepts from Quiz 1, Quiz 2, and Quiz 3,

You should be able to define or explain the following terms:

You should be familiar with the following C++-related concepts:

Practice problems

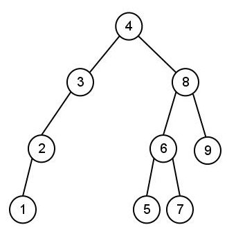
  1. Consider the following tree:
    1. What is the pre-order traversal of the tree?
    2. What is the in-order traversal of the tree?
    3. What is the post-order traversal of the tree?
    4. What is the level-order traversal of the tree?
    5. Draw the tree obtained by inserting 10 into the tree.
    6. Draw the tree obtained by deleting 2 from the tree.
    7. Draw both trees that might be obtained by deleting 4 from the tree.
  2. Consider a boolean function LinkedBst::containsInRange that takes as arguments two keys -- min and max -- and returns true if there exists a key k in the tree such that min <= k <= max. One possible implementation of this function is to call a recursive helper function that takes an additional argument -- a node in the tree, and returns whether that subtree contains any keys in the range:
      template <typename K, typename V>
      bool LinkedBst<K,V>::containsInRange(K min, K max) {
        return subtreeContainsInRange(root, min, max);
      }
    
    Write the recursive helper function subtreeContainsInRange. You may assume that empty trees are represented by pointer to a NULL node.
  3. For each of the code fragments below, draw the AvlTree that results from the code fragment:
    1.   AvlTree<int,int> t;
        for (int i = 1; i <= 10; ++i) {
          t.insert(i,i);
        }
      
    2.   AvlTree<int,int> t;
        for (int i = 1; i <= 5; ++i) {
          t.insert(i,i);
          t.insert(-1*i,-1*i);
        }
      
    3.   AvlTree<int,int> t;
        for (int i = 1; i <= 5; ++i) {
          t.insert(i,i);
          t.insert(11-i,11-i);
        }
      
  4. For each of the three code fragments above, draw the tree that would result if a LinkedBst were used instead of an AvlTree.
  5. What is the worst-case running time of the following function? Use Big-O notation.
      void f(int n) {
        if (n < 0) {
          return;
        }
        AvlTree<int,int> t;
        for (int i = 0; i < n; ++i) {
          t.insert(i,i);
        }
        for (int i = 0; i < n; ++i) {
          cout << t.remove(i) << endl;
        }
      }
    
  6. What is the smallest AVL tree such that removing a node requires a rotation to rebalance the tree? (There is more than one correct answer, but they're all the same size.)
  7. What is the smallest AVL tree such that removing a node requires two rotations to rebalance the tree? (Again there is more than one correct answer, but they're all the same size.)