The cd command allows you to change directories.
To change to your home directory:
cd
To change to your scratch directory (if your username is csmajor1):
cd /scratch/csmajor1
To move up one level, no matter where you are:
cd ..
You can also use the full path to change to your cs21/labs/00 directory:
cd /home/csmajor1/cs21/labs/00
Or go one step at a time:
cd
cd cs21
cd labs
cd 00
Use the tilde (~) shortcut to get to your cs21/labs/00 directory:
cd ~/cs21/labs/00
To switch from your cs21/labs/00 directory into your cs21/labs/01 directory:
cd ..
cd 01
Or again, in just one line:
cd ../01
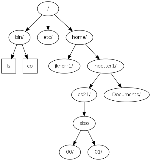
Here’s a view of the unix filesystem tree:
